
Un flash es una herramienta muy útil ya que resuelve muchas situaciones complicadas de luz y si lo controlas mínimamente, puede ayudarte a realizar estupendas fotografías.
Tipos de flash hay muchos. Pero sin duda alguna, el mejor flash para adentrarse en el maravilloso mundo de la iluminación con flash (jejeje) es el flash de mano o flash externo, por precio y prestaciones. En este artículo vas a aprender todos los aspectos que tienes que conocer para elegir uno y cuál es el que más te puede interesar.
Es posible que aunque, hayas llegado hasta aquí, no te guste mucho el resultado que obtienes con tu flash. Te recomiendo echar un vistazo al artículo donde vimos cómo el flash bien usado puede dar buenos resultados.
Tipos de flash
Según su construcción, existen diversos tipos de flash. Vamos a verlos.
Flash de la cámara
Es el flash que va integrado en la cámara, ya sea compacta o réflex. Como ya vimos en el sobre cómo perder el miedo al flash, su potencia está muy limitada y sus resultados, al ser un flash muy pequeño y siempre frontal, no son muy buenos.
En ese artículo vimos cómo usando algún modificador de luz casero para expandir su luz puede ayudar.
Si no tienes otro flash, y con las precauciones que te acabo de comentar, puede serte útil en algunas ocasiones. Pero por sus características su uso no es muy recomendable y es muy limitado.
Flash externo o de mano
Es un flash es muy versátil. Muchas cámaras compactas y réflex llevan zapatas para poderlos montar sobre la cámara, por eso también a veces se les llama flash de zapata.
Son bastante más potentes que el flash incorporado en la cámara, pero su principal ventaja es que la luz que generan puede direccionarse, gracias a sus cabezales orientables, lo que permite rebotar la luz. Y también que pueden dispararse fuera de la cámara, aportando luces lo que hace que aumenten muchísimo sus posibilidades de uso.
Son del orden de 3-4 veces más grandes que el flash integrado en la cámara, lo que hace que su luz sea algo menos dura.
Pero a pesar de ello, su luz, dirigida directamente sobre la escena, todavía es muy dura. Pero mediante soportes de Flash se les pueden acoplar fácilmente modificadores de luz, como un paraguas, ventanas, etc. Esto permite que se pueda modificar y controlar mucho mejor el tipo de luz que generan.
La iluminación con estos flashes lleva bastantes años de moda, se le conoce como iluminación strobist. Pronto veremos cómo adentrarnos en este mundillo 😉 . Aquí tienes un ejemplo de soporte de flash de mano y montaje de paraguas:

Se alimentan generalmente con pilas AA o con baterías. Algunos aunque funcionan con pilas llevan conexión para conectarles una batería que alarga su uso en una sesión sin cambiar de alimentación.
En resumen podríamos decir que son unos flashes muy fácilmente transportables, que permiten utilizar muchos modificadores de luz y su precio es bastante accesible, los hay a partir de 40-50€, que dan buen resultado.
Flash de estudio
Como su nombre indica están pensados para trabajar en estudio. Suelen ser mucho más potentes que los flashes de mano.
A diferencia de los flashes de mano, no suelen llevar lentes para ampliar su luz, si no que la lámpara va al aire, lo que permite que su destello sea más amplio, potente y uniforme.
Se les pueden colocar infinidad de modificadores para el estudio: ventanas de luz, paraguas, conos, etc.
La desventaja es que suelen ser bastante más caros y aparatosos que un flash de mano, y la mayoría requieren de conexión eléctrica de 220 v, lo que hace que sea difícil usarlos en el exterior.
Algunos modelos permiten usar baterías (nada baratas, por otra parte), que facilitan su uso en el exterior, pero su transporte en cualquier caso, siempre es más complicado.
A modo de resumen, están pensados para el interior, y aunque se pueden utilizar en el exterior, ni por precio ni por logística, son los que te recomiendo para empezar.
Una ventaja que si tienen es que suelen llevar “luz de modelado”, que gracias a una bombilla de luz continua, como puedes apreciar en la fotografía de arriba,
¿Qué debes saber de tu flash?: características básicas
Número guía
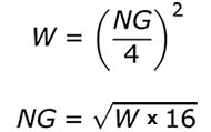
El número guía (NG) es un número que nos sirve para hacernos una idea de la potencia del flash. El número indica la distancia máxima, expresada en metros, a la que puede llegar a iluminar la luz del flash.
Así, nos encontramos con flashes con número guía de 28, 36, 58, etc. Que vendría a indicar a los metros máximos que llega el flash.
Como ves 58 m. parece bastante ¿verdad? Y lo es, lo que pasa es que ese número es teórico y está calculado con un diafragma teórico de f/1 y utilizando el zoom más largo (si el cabezal lleva zoom).
Aunque es algo que ya veremos, el alcance real tendríamos que calcularlo para el diafragma empleado en cada disparo:
NG = metros de alcance x valor f empleado
Así un flash con NG de 50 si usamos f/5,6:
50 NG = metros de alcance x f/5.6
Metros de alcance = 50 / 5.6 = 8,92 m.
Con ese diafragma nos quedamos ya en menos de 10 m. teóricos, en lugar de 50 m.
Ya veremos más adelante en otro artículo cómo calcular esto, ya que el ISO también afecta a los metros de alcance. De momento, quédate que es un indicador orientativo de la potencia. Porque además no todos los fabricantes lo calculan igual y generalmente la potencia real suele ser inferior a la indicada.
Los flashes de estudio suelen ser mucho más potentes que los flashes externos. A diferencia de los flashes externos, como ya he comentado, no usan lentes fresnel, si no que la lámpara va desnuda. Lo que hace que tengan una cobertura más amplia y una luz más homogénea.
Su potencia suele venir expresada en Vatios (W), no en números guía, como las flashes externos. Realmente no hay una equivalencia directa entre ambas medidas, pero de forma aproximada y práctica se podría hacer el cálculo de conversión con estas fórmulas:

Así, un flash de estudio de 400W equivale aproximadamente a un NG de 80.
Modo de disparo
En cuanto al modo de disparo los flashes básicamente pueden permitir dos modos de funcionamiento: TTL (modo automático) y manual.
Modo TTL (automático)
Los flashes que permiten el modo automático “hablan” con la cámara para regular su potencia y conseguir de forma automática una exposición correcta.
El modo automático más utilizado hoy día por los flashes es el TTL. Éste acrónimo viene del inglés Through The Lens y se traduciría como “a través del objetivo”, por su funcionamiento:
- Al apretar el botón de disparo de la cámara, la cámara le dice al flash que también se dispare.
- La luz entra por el objetivo de la cámara y llega al sensor. Cuando el sensor interpreta que la exposición es correcta, que la escena está suficientemente iluminada, le indica al flash que detenga su destello.
De esta forma el modo TTL permite que la cámara y el flash “hablen” entre ellos para ajustar la exposición, por lo que nos despreocupamos de su ajuste.
Un flash TTL lleva unos contactos en la zapata que permiten esa conexión automática entre el flash y la cámara. Por ese

Existen flashes con modos automáticos menos avanzados que el TTL, en que es el propio flash el que ajusta la potencia, pero está en claro desuso, al ser mucho menos precisos. Si buscas un flash automático, que sea TTL.
Recuerda: para que funcione bien el modo TTL del flash con tu cámara debes asegurarte que el flash es compatible con la misma. Como suele ser habitual, cada fabricante usa una conexión diferente con el flash, por lo que tienes que asegurarte que es un flash compatible con la marca de tu cámara: Nikon, Canon, Olympus, Sony, etc.
Modo manual
Este es el modo que llevan todos los flashes, en el que la potencia de disparo se ajusta de modo manual. Tienes que ser tú quien regule la potencia para ajustarla a la luz que necesitas en la escena.
Generalmente la potencia se puede regular y en lugar de disparar a máxima potencia, también se puede disparar a la mitad 1/2, y a un cuarto 1/4, 1/8, etc.

Generalmente entre un paso y otro también permiten configurar tercios o medios pasos. Así entre 1/8 y 1/16, existen pasos intermedios 1/16 (+1/3) y 1/16 (+ 2/3), etc. Este flash también tiene medios pasos (+ 0.5):

Una ventaja es que los flashes manuales pueden usarse para cualquier marca de cámaras, ya que sólo llevan un contacto en el centro de la zapata, que sirve para el disparo manual.
Zoom
La mayoría de los flashes de mano actuales suelen tener zoom. Utilizando unos paneles reflectantes situados alrededor de la lámpara, cerrándolos o abriéndolos, permiten abrir o cerrar más el haz de luz que generan y alargar más o menos el mismo.

Este zoom generalmente se puede regular manualmente en el flash y en algunos flashes se puede configurar en modo automático, para que cambie a medida que cambias el zoom del objetivo de tu cámara.

Los flashes de estudio no suelen permitir cambiar el zoom, se utilizan modificadores de luz para concentrar o expandir la luz.
Tiempo de reciclado
Es el tiempo que necesita el flash para poder disparar de nuevo tras un disparo.
No es un aspecto que se suele tener en cuanta, pero es importante, porque en ocasiones queremos disparar rápido, y el flash no disparará hasta que no se vuelva a cargar.
Se expresa en segundos y suele ser al menos de 3-4 s cuando se dispara el flash a máxima potencia. Si se dispara a menos potencia, naturalmente ese tiempo se reduce.
Un tiempo de reciclaje a máxima potencia de 4-5 s puede ser aceptable en la mayoría de casos. Si es superior, pues simplemente hay que tenerlo en cuenta 😉 . Sobre todo si se hacen fotografías en ráfaga, como en deportes, etc.
Modos de disparo separado de la cámara
Algo a valorar también es que el flash incluya funcionalidades para poder ser disparado fuera de la cámara, de forma remota, sin accesorios adicionales.
Aunque si no las lleva, no pasa nada, porque como ya veremos más adelante, cuando profundicemos en su manejo, cualquier flash puede ser disparado fuera de la cámara, por diversos medios.
Aunque, si el flash ya incorpora alguna funcionalidad para que de forma autónoma pueda dispararse ya fuera de la cámara, siempre es algo interesante.
Así, hay flashes que incorporan una célula fotosensible para dispararse por “simpatía”, al captar el destello de otro flash, como puede ser el integrado en la cámara. Así podemos dispararlo sin usar disparadores remotos 😉 .
Y algunos también soportan disparo inalámbrico por radiofrecuencia, compatible con otros disparadores o con ciertas cámaras.
En estos casos se dice que el flash está configurado en modo “esclavo”, ya que responde a la señal de otro flash para disparar. Ya profundizaremos más adelante sobre esto.
Pidiéndole más a tu flash: funciones avanzadas
Alta velocidad de sincronía
Aunque este aspecto da para un artículo independiente, te adelanto aquí de qué va este tema, ya que es una funcionalidad importante de los flashes.
La alta velocidad de sincronía es una funcionalidad de los flashes que apareció hace ya un tiempo para solucionar un problema que aparece al utilizar los flashes y disparar a velocidades altas. Vamos a verlo.
Problema al usar el flash a altas velocidades de disparo
El problema aparece al utilizar velocidad de disparo rápidas, depende de la cámara, pero generalmente a partir de 1/200 s o 1/250 s. A partir de esas velocidades, como 1/400 s, 1/1000 s, etc. el obturador de la cámara trabaja en modo “ranura”. Vamos a ver qué es eso.
El obturador de la cámara tiene 2 cortinillas, su funcionamiento es el siguiente:
- Al apretar el botón de la cámara baja la 1ª cortinilla.
- La luz entra en el sensor
- Cuando ha pasado el tiempo de exposición configurado, baja la 2ª cortinilla y se corta la exposición.
- Las cortinillas vuelven a la posición inicial para volver a disparar.
Vamos a ver este funcionamiento mediante un esquema:

¿Qué ocurre a altas velocidades? Al disparar a velocidades grandes, la segunda cortinilla baja antes de que acabe de bajar completamente la primera, ya que la exposición es tan corta que no da tiempo a ello:

Cuando el obturador funciona así, se dice que trabaja modo “ranura”, ya que en toda la exposición, no hay ningún momento que el obturador esté abierto completamente. Durante la misma, sólo se ve una “ranura”, una parte de la escena.
Con este vídeo vas a poder ver mejor, a cámara lenta, este funcionamiento:
Incorporando el flash en el disparo: ¿cuándo se produce su destello?
Por defecto, el flash realiza su destello al principio de la exposición, justo cuando la 1ª cortinilla ha terminado de bajar y el obturador está abierto completamente. Así la luz del flash ilumina toda la escena:

Hasta aquí todo bien, pero cuando reducimos el tiempo de disparo (subimos la velocidad) y el obturador comienza a trabajar en modo “ranura”, aparece el problema:

Efecto real sobre una imagen ¡se ven las cortinillas! y sólo se ve una “ranura” de la escena:

Ejemplo del problema: contraluz
No te chives a mis hijas, pero les he vuelto a coger “prestada” una de sus muñecas 😉 . Esta imagen nos servirá para ver un ejemplo de fotografía a contraluz, en el fondo tenemos la luz del atardecer.
Si realizamos una exposición rápida para no quemar el cielo, la cara de la muñeca sale completamente negra (imagen de la izquierda), y si exponemos más tiempo para conseguir una buena iluminación de la cara se nos quema el cielo (imagen de la derecha):

Una solución: utilizar el flash de relleno. Pero en ocasiones el disparo, si queremos poca profundidad de campo debería ser muy rápido ¿Qué ocurre si se dispara a velocidades rápidas?:

Sin embargo, si hubiésemos usado un flash con alta velocidad de sincronía habríamos conseguido que no se viesen las cortinillas.
Solución al problema
Los fabricantes de flashes se dieron cuenta que prolongando el destello del flash todo el tiempo de exposición se conseguía poder iluminar toda la escena, incluso a altas velocidades.
Este modo suele venir especificado en inglés como HSS (High speed sync), para cámaras Canon o como FP (Focal plane) para los Nikon.

Este modo de disparo realmente lo que hace es alargar el destello para iluminar toda la escena durante toda la exposición, y la única pega es que se reduce su potencia.
Modo estroboscópico
En este caso se puede configurar el flash para que en lugar de un solo destello, realice un número consecutivo de destellos y a una determinada frecuencia.
Esta funcionalidad avanzada tiene menos utilizar práctica que la funcionalidad anterior, la alta velocidad de sincronía.
Esta forma de disparar el flash se puede utilizar de forma creativa. Aquí tienes un ejemplo:

Los flashes que permiten este modo de disparo se les configura la frecuencia de destello en herzios, (nº de destellos por segundo) y el número de destellos a realizar.
Flash recomendado
A estas alturas ya sabrás que mi recomendación si no tienes ya flashes y quieres adentrarte en este mundo de la iluminación con flash, es un flash de mano o de zapata.
Un flash de mano es relativamente económico, portable y muy práctico.
Ahora voy a indicarte unos cuantos modelos que te recomiendo por precio y prestaciones. Los he agrupado por funcionalidad, unos TTL y otros manuales.
Las marcas de cámaras (Canon, Nikon, …) suelen tener flashes de su marca, que son bastante buenos. Pero los flashes de mano que te comento aquí son equivalentes en prestaciones y aunque su calidad de construcción en teoría es inferior, su precio es aproximadamente 10 veces inferior, por lo tanto, no está justificado a no ser que les des un uso “super intensivo” los flashes de los fabricantes de cámaras.
Aquí voy a recomendarte flashes de la marca Yongnuo, Neewer y Godox, que son marcas que llevan tiempo en el mercado y están ofreciendo buen resultado.
Flashes TTL
Te comento varios flashes que incluyen todas las funciones avanzadas que hemos comentado en este artículo.
Si recuerdas los flashes con automatismos, como el TTL, se comunican con la cámara, por lo que tienen que ser compatibles con tu cámara. Indico aquí modelos para Nikon y Canon, para otras marcas, estos fabricantes también suelen disponer de modelos compatibles.
Yongnuo YN-568EX para Nikon y Yongnuo YN-568EX II para Canon:
- Número guía: 58
- Modos de disparo: TTL, M (manual), Multi (estroboscópico)
- Permite dispararse separado de la cámara: modos esclavos y disparo por simpatía
- Alta velocidad de sincronía HSS (hasta 1/8000 s)
- Zoom 24 – 105 mm
- Tiempo de reciclado: 3 s
- Precio: 100€ aprox.
Neewer NW-565 EXN para Nikon: y Neewer NW985C E-TTL para Canon:
- Número guía: 58
- Modos de disparo: TTL, M (manual), Multi (estroboscópico)
- Permite dispararse separado de la cámara: modos esclavos y disparo por simpatía
- Alta velocidad de sincronía HSS (hasta 1/8000 s)
- Zoom 18 – 180 mm
- Tiempo de reciclado: 2.9 s
- Precio: 60€ aprox.
Flashes manuales
Estos flashes manuales tienen la ventaja de que son válidos para todas las marcas, ya que al ser manuales, no se comunican con la cámara y su disparo puede hacerse por cualquier cámara.
Te comento 3 flashes manuales con distintas funcionalidades y precio:
Godox TT600. Flash manual con funciones avanzadas:
- Número guía: 60
- Modos de disparo: M (manual) y Multi (estroboscópico)
- Permite dispararse separado de la cámara: modos esclavos y disparo por simpatía
- Zoom 24 – 200 mm
- Alta velocidad de sincronía HSS (hasta 1/8000 s)
- Tiempo de reciclado: 2.6 s
- Precio: 65€ aprox.
Yongnuo YN560 IV. Flash manual con buenas funciones:
- Número guía: 58
- Modos de disparo: M (manual) y Multi (estroboscópico)
- Permite dispararse separado de la cámara: modos esclavos y disparo por simpatía
- Zoom 24 – 105 mm
- Tiempo de reciclado: 3 s
- Precio: 60€ aprox.
Neewer TT560: flash bastante básico, pero con un precio inmejorable.
- Número guía: 38
- Modos de disparo: M (manual)
- Permite dispararse separado de la cámara: modos esclavos y disparo por simpatía
- No soporta zoom
- Tiempo de reciclado: 5 s
- Precio: 35€ aprox.
Cualquiera de estos flashes te sirven para adentrarte en el bonito mundo de la iluminación con flash 😉 .
Espero que te hayan quedado claras las características más importantes de los flashes, sobre todo de los flashes de mano, que son los que te recomiendo. Si tienes cualquier duda te animo a que dejes un comentario, estaré encantado de poder ayudarte. Y si te ha gustado, te agradecería que lo compartas por tus redes sociales, así habrá más gente aprendiendo fotografía 🙂 .

¡Un artículo genial, Braulio! No es fácil explicar las funcionalidades de los tipos de flash y aquí lo haces de forma clara, sencilla y visual. Muy útil para los introducirse en el campo de la iluminación “sin agobios”, sin grandes desembolsos y con estupendos resultados.
¡Un saludo! Te seguiré leyendo 😉
Hola Ana 🙂
Muchísimas gracias por tu comentario. Me alegra mucho que te guste el artículo. La verdad es que un flash de mano puede darnos muchas alegrías y su manejo es bastante sencillo, como intentaré ir explicando en el Blog.
He visto tu Blog, tiene buena pinta, aunque lo tienes parado ¡ánimo con él y a por esas fotografías!
Gracias por tus palabras y ¡por seguirme! 😉
Un abrazo,
Braulio
Hola Braulio,
Acabo de descubrir tu proyecto en Ivox. Quiero decirte que el capítulo sobre el flash me ha sido útil y he aprendido mucho. Ya me he descargado otro par de audios 😉
El blog tiene muy buena pinta y los artículos muy completos.
Muchas gracias por compartir tus conocimientos
Hola Kanzi 🙂
Muchas gracias por tu comentario. Me alegra mucho que te haya sido de utilidad el audio. La verdad es que saber manejar un flash de mano nos puede ayudar muchísimo en muchas ocasiones. La idea es en próximos episodios ir explicando también su uso, siempre desde un punto de vista práctico.
Me alegra mucho que también te guste el Blog 🙂 . Si quieres estar al día puedes suscribirte y cualquier duda ya sabes.
Un abrazo,
Braulio
Suscrito 😉
Muchas gracias 🙂
Excelente artículo sobre el flash, muy bien explicado gracias a las ilustraciones que complementan maravillosamente los textos. Braulio, estás haciendo un trabajo muy útil y formativo, muchas gracias.
Hola Gabriel 🙂
Muchas gracias por tu comentario. Intento efectivamente que los artículos queden bien explicados, y que además puedan servir de referencia visual para los episodios del Podcast.
Siempre viene bien tener información visual claro. Si además resulta útil pues una alegría. Gracias por los ánimos.
Un saludo,
Braulio
Hola Braulio:
Como siempre, tus articulos son muy sencillos de entender, muy ilustrativos con tus imagenes y siempre enlazados a otros articulos que encima complementan a los anteriores o te aconsejan sobre productos, en precios… y por si todo esto fuera poco, encima contestas personalmente dando animos, dsndo consejos o enlazando otros aticulos, vamos atencion superpersonalizada, Braulio hay que quitarse el sombrero contigo.
Muchas gracias por todo.
Saludos
Pedro
Hola Pedro 🙂
Muchas gracias por tu comentario y tus amables palabras. Soy de la idea de que cuando uno quiere explicar algo para que otras personas lo entiendan, no hace falta subirse a ningún púlpito, y hablar con grandes palabras, las cosas no son tan complicadas realmente y no me hace mejor docente, enrevesar las cosas para intentar ensalzar mis supuestos conocimientos. Lo que humildemente sé, que no es mucho, intento explicarlo siempre de la forma más sencilla 🙂
Y si una persona se toma el tiempo en escribirme, qué menos que dedicarle la misma atención.
Me alegro mucho de verdad que te guste el contenido y sobre todo que tengas esas ganas de seguir aprendiendo 🙂
Mucho ánimo 🙂
¡Saludos!
Braulio